Math 251
Division
Partition
has 78 stickers needs to give 13 to each kid
Missing Factor
If he started with 78 candies and gave
6 to each kid how many kids were there
repeated subtraction
Has 78 dollars needs to give money to 13 kids
Number bonds
Decomposing to make it friendly
4816/4
4000/4=1000
800/4= 200
16/4= 4
4816/4=1204
Positive/negative rules when
Multiplying or Dividing
Multiplying:
A * B = C
-A * B = -C
A * -B = -C
-A * -B = C
Negative times a negative is positive
Positive times a negative is negative
Dividing:
A/B = C
-A/ B = -C
A/-B = -C
-A/-B = C
Negative and positive is always negative
A Negative and a negative are always positive
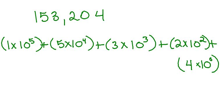
Expanded notation
Scientific
384= 3x10^2 + 4 x 10^1 +6 x 10^0
can be used in ratio table, area models, and partial quotients
normal
348= 300 + 40 +8
writing out the hundreds then tens then ones place
Multiplication
Properties
Communitive:
A x B = B xA
Identity Property:
A x 1 = A
Distributive Property
A x (B+C) = (AxB) + (AxC)
Associative:
A x (BxC) = (AxB) x C
strategies
Traditional
12
x13
Partial Products
1x12= 12
2x12= 24
10x12=120
Ratio Table
12 x 13

Models
Tree/Combinations
Factoring out numbers and mulitpling smaller numbers can make mulltiplication easier. If the number was 48 the picture below is two ways you could factor it out
Jill has 4 pairs of pants with 6 different shirts how many combinations can she make?
Area Model/Array
using rows and columns to find how much is in a given area
Areas can be broken up and added together in order to simplify.
There are 4 rows of 9 chairs how many chairs are there?
Repeated Addtion
Multiplying is just like adding the same number multiple times. Ex: 5 X 3 is like adding 5 + 5 + 5 or 3 + 3 +3 +3 +3
John has 4 plates with 5 oreos; how many oreos does he have?
4 x 3 = 12

