natural convection
Forced and natural convection
Forced convection
Fo > 0.2
Fo < 0.2
Bi>0.1
Bi < 0.1
Semi Infinte
Not Semi Infinite
nonSteady
Steady
medium
no medium

Mass And Heat Transfer

Mass Transfer(Ch9)
-caused by unequal
concentrations and
pressures

Law of Mass Conservation (9.2)
(Rate of Mass In)-(Rate of Mass Out)
+(Rate of Mass Generation)= Rate of Mass Storage

r

this equation is only for one species at a time --> species i

Chemical Kinetics(9.4)
generation or depletion of a mass species

DEFINITION OF RATE
Rate=(mass of Product produced or reactant consumer)/(Unit volume)(Time)

nth Rate Law

nth Rate Law

Modes and Mechanisms

Pressure Driven
ch10 Darcy Flow
capillary in a porous solid

Pressure Driven
ch10 Darcy Flow
capillary in a porous solid
r

H=h+zn^v is the volume metric fluxH is hydraulic potential or water potential over s distanceK is hydraulic conductivity-represents the ease with which fluid can be transported through a porous matrix,

v_average

v_average
r

φ be the volumetric porosity, (ratio of volume of void space (porevolume) to the bulk volume of a porous medium.)

Redefined K

Redefined K

Redefined Darcy

Redefined Darcy

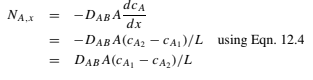
Frick's Law Diffusion

Frick's Law Diffusion
r

analogous to diffusive heat transfer described in section 2.1D_AB diffusion coefficient --> mass diffusivity of A in B in m^2/s analgous to thermal diffusivity proportionality between diffusive mass flux and concentration gradient

Diffusivity Speed

Diffusivity Speed

Diffusivity for gases

Diffusivity for gases
r

where DAB is the diffusivity of A through B, T is the absolute temperature, MA and MB are molecular weights, p is absolute pressure in atm, σAB is the collision diameter in A(Omega)D,AB is a dimensionless function of the temperature and the intermolec-ular potential

Diffusivity of liquids
(Stokes-Einstein)

Diffusivity of liquids
(Stokes-Einstein)
r

Stokes Equation f=6pi(viscosity)r (mu) is medium viscosity D is macroscopic diffusion coefficient f is frictional coefficient k is boltzman constantT is absolute Temperature

Capillary Diffusion

Capillary Diffusion
r

cap D os ratio of transport coefficient K and differential capacity

Mass average velocty

Mass average velocty

Flux Equation for a convective
Situation

Flux Equation for a convective 
Situation
Full General Mass Transfer EQ

Full General Mass Transfer EQ

General Boundary Conditions

Surface Concentration is 
specificed

Surface Concentration is
specificed

Surface Mass Flux is
specified

Surface Mass Flux is
specified

Special Case: Impermeable condition

Special Case: Impermeable condition

Special Case: Symmetry
Condition

Special Case: Symmetry
Condition

Convection at the surface

Convection at the surface

Full General Mass Transfer 
Various Coordinate Systems

Full General Mass Transfer
Various Coordinate Systems

Concentration not changing with time

no reaction

no reaction

One Slab
BCs are

One Slab
BCs are

Multiple Slabs +convection
BCs

Multiple Slabs +convection
BCs

With Reaction

With Reaction

BCs

BCs

r

The analogy betweenthe heat and mass transfer situations is quite straightforward. In heat transfer, energy isdiffusing as well as being lost from the surface (decaying). In mass transfer, the speciesis diffusing as well as it is decaying as a first order reaction.

r

m=sqrt(k"/D)

Concentration changing with time

not semi infinte appr

Internal Diffusive Resistance is Negligible
Bi<.1 (Biot# defined below)

Internal Diffusive Resistance is Negligible
Bi<.1 (Biot# defined below)
Lumped Parameter
BC

Lumped Parameter
BC

r

w is moisture content

Internal Diffusive REsistance
is not negligible
Bi>.1

Internal Diffusive REsistance
is not negligible
Bi>.1
1D slab
BCs & IC

1D slab
BCs & IC

Fo>.2

Fo>.2

r

makes it able to be calculated with on term aka Hieslers chart

average concentration

average concentration

Hiesler Chart to get answer

Hiesler Chart to get answer

r

assumptions to use hiesler chart1. Uniform initial concentration2. Constant boundary fluid concentration3. Perfect slab, cylinder or sphere4. Far from edges5. No chemical reaction (rA = 0)6. Constant diffusivity D

Finite Geometry Multiple Dimensional

Finite Geometry Multiple Dimensional

Fo<.2
Need to compute
for more than one term

semi infinite approx

semi infinite approx

Semi Infinte
BC and IC

Semi Infinte
BC and IC

Error Function

Error Function

Dispersion Mass Transfer

Dispersion Mass Transfer
r

Dispersion depends on flow, being generally an effect of turbulent flow. Molecular diffusion, due to the thermal-kinetic energy, is always present.

Convective Mass Transfer

r

studied the same way as Convective Heat TransferConvective mass transfer is the movement of mass through a medium as a result of the net motion of a material in the mediumtwo scenarios1) Convection-diffusion over a surface and 2) Convection-dispersion in a fluid or porous media.

Convective Diffusion Mass Transfer
Over a Surface

Convective Diffusion Mass Transfer
Over a Surface

Convection Dispersion in a fluid orporus media

Heat Transfer

Table of Contents

r

Chapter ObjectivesUnderstand the physical processes and the rate laws describing the three modes of heat transfer, conduction, convection, and radiation.Understand the material properties that affect heat conduction in a material.Key TermDiffusion- net movement of anything down a concentration gradient(depends on random movement)Conduction-heat transfer due to concentration gradient of Temp (specific implementation of diffusion)Fourier's law- conduction equation. basically heat flux=k x Temp gradientThermal conductivity- proportionality constant between heat flow and temperature gradientThermal diffusivity- proportionality constant between Energy Flux and energy gradientHeat flow rate- amount of heat transferred per unit time( heat flux=heat flow rate/area)Advection- transport of a substance or quantity by bulk motion. Convection- heat transfer due to bulk flow of fluid over a surface(specific implementation of advection plus diffusion)Bulk flow- movement of fluid down a pressure gradient Convective heat transfer coefficient-h is a function of system geometry, fluid and flow properties, and magnitude of ΔT. Convection Equation is not law, is definition of hRadiation-from atoms emitting electromagnetic waves, doesn't require medium. Depends on surface and geometric factors

r

Chapter ObjectivesExplain the characteristics of electromagnetic radiation as it is incident on a surface or emitted by a surface.Calculate the magnitude and spectral quality of electromagnetic radiation emitted from a material.Explain the energy emitted by biological and environmental entities.Calculate the radiative energy exchange between two bodies.KEY TERMSelectromagnetic spectrum-reflection, absorption, and trans-mission of waves-blackbody-emission and emissivity-solar radiation-solar constant-greenhouse effect-radiative exchange-view factor-

r

Chapter ObjectivesIdentify the terms describing storage, convection, diffusion and generation of energy in the general governing equation for heat transfer.Specify the three common types of heat transfer boundary conditions.Describe heat transfer in a mammalian tissue with blood vessels using the bioheat transfer equation.Key Termsgoverning equation-General equation that describes heat transfer with storage, conduction, generation, convection termscontrol volume- concept of system used in governing equation, 3d system of spacestorage term- rate of change of stored energyconvection term- rate of net energy transport due to bulk flowdiffusion term- Rate of energy transport due to conductiongeneration term-Rate of generation of energyboundary temperature specified- common boundary condition needed to solve individual heat transfer problemsboundary heat flux specified-common boundary condition needed to solve individual heat transfer problemsboundary convective heat transfer-common boundary condition needed to solve individual heat transfer problemsbioheat transfer-

r

Chapter ObjectivesFormulate and solve for a conductive heat transfer process in a slab geometry where temperature does not change with time (steady-state).Extend the steady-state heat transfer concept for a slab to a composite slab using the overall heat transfer coefficient.Extend the steady-state heat transfer in a slab to include internal heat generation.Formulate and solve for a steady-state conductive heat transfer process in a cylindrical geometry.Key Termssteady-state-thermal resistance-R-value-thermal resistances in series-overall heat transfer coefficient-heat transfer with with energy generation-thermoregulation—behavioraland autonomic processescore body temperatureextended surfaces—fins-

r

CHAPTER OBJECTIVESWhere temperatures do not change with position.In a simple slab geometry where temperatures vary also with position.Near the surface of a large body (semi-infinite region).KEY TERMSinternal resistanceexternal resistanceBiot numberlumped parameter analysis1D and multi-dimensional heat conductionHeisler chartssemi-infinite region

r

Chapter ObjectivesExplain the process of molecular diffusion and its dependence on molecular mobility.Explain the process of capillary diffusionExplain the process of dispersion in a fluid or in a porous solid.Understand the process of convective mass transfer as due to bulk flow added to diffusion or dispersion.Explain saturated flow and unsaturated capillary flow in a porous solidHave an idea of the relative rates of the different modes of mass transfer.Explain osmotic flow.KEY TERMSdiffusion, diffusivity, and diffusion coefficientdispersion and dispersion coefficienthydraulic conductivitycapillarityosmotic flowmass and molar fluxFick’s lawDarcy’s law

r

Chapter ObjectivesExplain the process of convection heat transfer in a fluid over a solid surface in terms of the relatively stagnant fluid layer over the surface called the boundary layer.Calculate the convective heat transfer coefficient h knowing the flow situation.KEY TERMSconvective heat transfer coefficientvelocity boundary layerthermal boundary layerReynolds numberNusselt numberPrandtl numberGrashof numbernatural and forced convectionlaminar and turbulent flow

Heat Transfer for
equilibrium thermodynamics

Equilibrium Between a Gas and Liquid
-xa=(pa)/H

r

pa is the partial pressure of speciesxa is the concentration of the speciesH is the Henry constant ( change base on gas)

Concentration (9.1)
-roea=mass concentration=(mass of A)/(unit volume)
-ca= molar concentration= (moles of A)/(unit volume)

r

roea=ca*Maca in text can means both molar and mass concentration depending on the context unless both are used in one equation

Concentrations in a Gaseous Mixture
-c=(p)/(Rg*T)

Equilibrium between different states of matter(9.3)

Equilibrium between Solid and Liquid
in Absorption
- 1-RH=b1 exp(-b2w)undefined

r

-The common example of a solid coming in equilibrium with a gas is the potato chip typically becoming soggy when left out of the package.whereRH is the relative humidity ( in fraction)b1 and b2 are constantsand w is the equilibrium moisture content(%)

Equilibrium between a Gas and a Solid
(With Absorbed Liquid)
-cA,adsorbed=K*c^n_Aundefined

r

ca ,absorbed is the concentration of absorbed solute ACa is the concentration of solute A in solution K* and n are empirical constants

Non Equilibrium ie unequal
Chapter 1

Mechanism and Modes
Chapter 2

Radiation
Chapter 8

Radiation emitted by a Body

Black Body Emission

Black Body emmission from range of
wavelengths

Black Body emmission from range of 
wavelengths
r

The F0−λT values, representing the fraction of total energy emitted by a blackbody at temperature T. Then use equation to find the fraction of energy between the two wavelengths.

Monochromatic emmision

Monochromatic emmision
r

Wherec = is the speed of lighth = Planck's constant (6.625E-34)κ = Boltzmann's constant (1.380E-23)T = the absolute temperature in KEb_λ,= Energy flux provided by the given wavelengthλ=wavelength

Real Body Emission

Real Body Emission
r

Total emissitivity ε compares the emissive power E of an actual body to the emissive power of the ideal (black) body

Real Body mono

Real Body mono
r

Monochromatic emissivity = ratio of the monochromatic emissive power of a body to the monochromatic emissive power of a blackbody *at the same wavelength and temperature

peak emmisive wavelength

peak emmisive wavelength

Radiative Exchange

r

Whereq= rate of heat flowF1-2= view angle from body 1->2

Two gray surfaces create an enclosed volume

Two gray surfaces create an enclosed volume

2 Gray Parallel Infinite Planes

2 Gray Parallel Infinite Planes

Object is completely enclosed in a surface

Object is completely enclosed in a surface

two black bodies exchanging

two black bodies exchanging

Electromagnetic Radiation

r

Wherec=3E8 m/sv= frequency

Beer-Lambert Law

Beer-Lambert Law
r

WhereFo=the flux in W/ m^2δ =the penetration depth, distance at which the flux becomes 1/ex=distance into materialF=the flux at a location inside the material at a distance x

Reflectivity, Absorptivity,Transmissivity

Reflectivity, Absorptivity,Transmissivity
r

Functions of wavelength

Conduction &or Convection
Governing Eqn and Boundary Conditions
Chapter 3

Temperature not changing with time(Steady)
Chapter 4

Steady-State Heat Conduction in a Slab(4.1)

Steady-State Heat Conduction in a Slab(4.1)

One Dimensional Conduction through Composite Slab(4.1.1)

Temp Eq

Temp Eq

BC

BC

Temp Eq

Temp Eq

Heat flow Eq

Heat flow Eq

Steady-State Heat Conduction
in a Cylinder(4.2)

Steady-State Heat Conduction 
in a Cylinder(4.2)

BC

BC

Temp Eq

Temp Eq

Heat flow Eq

Heat flow Eq

Steady State Heat Conduction in a Slab with Internal Heat Generation(4.3)

Steady State Heat Conduction in a Slab with Internal Heat Generation(4.3)

BC

BC

Temp Eq

Temp Eq

Heat flow Eq

Heat flow Eq

Steady-State Heat Transfer from Extended Surfaces:Fins(4.4)

Steady-State Heat Transfer from Extended Surfaces:Fins(4.4)
r

Whereθ=T-Tinfinty .θb=Tb-Tinfinty .Tb=Temp at base m2=(hP)/(kAc)

BC

BC
r

BC for special case of a long fin

Temp Eq

Temp Eq

Heat flow eq, q

Heat flow eq, q

Fin effectiveness

Fin effectiveness

Chapter 5 : Temperature changing with time(not Steady)

Freezing and Thawing (Phase Change)
Chapter 7

Freezing

Temperature Profiles and Freezing Time(7.4)

Freezing Time for an Infinite Slab of Pure

r

Following Assumptions are madeInitially all material is at freezing temperature Tm but unfrozen.All material freezes at one freezing point.Thermal conductivity of the frozen part is constant.working with a symmetric freezing of a slab

BC that Temp known

BC that Temp known
r

Wherex=half the thicknessTm=initial temp of materialTs=surface Temp

If working with Biomaterial

If working with Biomaterial
r

Whereλ=heat of fusion***********when working wih Biomaterial will give you new ΔH

convection at surface

convection at surface
r

WhereTs=Temp of convective fluidL=half the thicknesstf=time it takes for all the way to L to freeze

Heat Loss through a frozen layer

Heat Loss through a frozen layer

Freezing of Solutions and Biomaterials (7.3)

Freezing of Solutions and Biomaterials (7.3)
r

WherexA=mole fraction of A(water probably) in the solutionTA0 =freezing point of a pure liquid (K)ΔHf=the latent heat of fusionRg = gas constant ( 8.314 kJ/kmol)TA=freezing point is the freezing point of the solution in A (K)

Dilute Solutions

Dilute Solutions
r

WherexB=mole fraction of B(solute) in the solutionTA0 =freezing point of a pure liquid (K)ΔHf=the latent heat of fusionRg = gas constant ( 8.314 kJ/kmol)TA=freezing point is the freezing point of the solution in A (K)also ΔTf=TA0-TA.

Dilute Solutions

Dilute Solutions
r

WhereMA=molecular weight of waterM=molality or moles of solute/unit mass of water(or other solvent)*****************************Can use when xB<<1

mole fraction xb

mole fraction xb
r

mA=mass of watermB=mass of soluteMA=molecular weight of waterMB= molecular weight of solutexb=mole fraction for dilute solutions

Evaporation(7.5)

Elevated boiling point of slns(7.5.3)

Elevated boiling point of slns(7.5.3)
r

same as in freezing but for boiling point

Evaporation from Wet Surfaces(7.5.1)

Evaporation from Wet Surfaces(7.5.1)
r

Wherec stands for concentration of water vaporhm=mass transfer coefficient

Finding ΔH

Finding ΔH

Not phase change

Semi Infinite Approx check

Semi Infinite Approx check

Biot number

Biot number
r

Whereh is the heat transfer coefficientL is the characteristic lengthk is the thermal conductivity*************For Bi < 0.1Eq h(V/A)/k < 0.1

Lumped Parameter Analysis
(negligible internal resistance)

Lumped Parameter Analysis
(negligible internal resistance)
r

When temperature variations are ignored. Temperature would then only vary with time.********************Suitable for large surface areas, small volumes, small convective heat transfer coefficients and large thermal conductivities

IC

IC

r

Temperature as a function of time in lumped parameter heat transfer

Not negligible internal resistance

Not negligible internal resistance

Series Solution

Series Solution
r

Where α = k/ρcp  is the thermal diffusitivity

Fourier Number

Fourier Number
r

Non-dimensional time*****************Long time is defined as Fo > 0.2. Substituten n=0

Compute with more than one term

1st Term of Series Solution

1st Term of Series Solution

Infinite Geometry
-use Heisler Chart to get Temp gradient
-unless special case where we want to find average temp

Conditions to use Heisler Chart

Conditions to use Heisler Chart
r

Heisler Charts has plots of relations between non-dimensional variables Wheren=x/Lm=k/hL

For Finite Geometry(5.4)

For a rectangular box

For a rectangular box

For a finite cylinder

For a finite cylinder

Boundary Conditions: Surface temp specified

Boundary Conditions: Surface temp specified

Initial Condition

Initial Condition
r

Ti is the constant initial temperature and Ts is the constant temperature at the two surfaces of the slab at time t > 0.******************************Temperature profile will always be symmetric

5.3.3 Avg Temperature Change with Size

5.3.3 Avg Temperature Change with Size

5.5 Transient Heat Transfer in Semi-Infinite Region

Governing Eq.

5.5  Transient Heat Transfer in Semi-Infinite Region 

Governing Eq.

BC Specified Surface Temp

BC Specified Surface Temp

IC

IC

Temp Equation
when (h/k<<1, negligible external resistance)

Temp Equation
when (h/k<<1, negligible external resistance)

Surface Heat Flux eq, q"

Surface Heat Flux eq, q"
r

Heat Flux decreases with time

BC Convection at Surface

BC Convection at Surface

IC

IC

Semi-infinite Slab where(h/k is not<<1)

Semi-infinite Slab where(h/k is not<<1)

For specified heat flux condition

For specified heat flux condition

Convection Governing Eq & Boundary Conditions
Chapter 6

r

InfoGen Equation in this chapter is applied to fluids instead of solidsB/c keeping convective term, will work with equations that govern fluid flowmain goal of chapter is to find h of a fluid

Temperature Profiles and Boundary Layers over a Surface(6.2)

Temperature Profiles and Boundary Layers over a Surface(6.2)
r

Effect of the flat plate on the flow/Temp is essentially restricted to the respectively boundary layers

Velocity BL

Velocity BL

Velocity BL eq

Velocity BL eq

Thermal BL

Thermal BL

Thermal BL eq

Thermal BL eq

Fluid Properties

Reynolds Number

Reynolds Number
r

Whereμ=viscosityL= Characteristic Lengthuinfinty is the free stream velocity,x= distance along the flow from the leading edge *******************If Reynolds number uses x ---> becomes Rex.If Reynolds number uses L --> becomes ReL .If Reynolds number uses D---> becomes ReD.*******************Reynolds number is a flow parameter so it depends only on the properties of the fluid( ie velocity density, viscosity) also depends on the distance at which your looking atReynolds number related closely to velocity boundary layer

turbulent, laminar, trans for a flat plate?

turbulent, laminar, trans for a flat plate?
r

based on disance x along the plate

Prandtl Number

Prandtl Number
r

Prandtl number relates thermal boundary layer to velocity boundary layer

Nusselt Number

Nusselt Number
r

WhereNu= non-dimensional temperature gradient Nu compares thermal conduction in the fluid relative to the convection in the fluid.(relates entirely to the fluid and involves fluid thermal conductivity

Convective heat transfer term
(h)

Grashof number

Grashof number
r

Whereβ=Thermal expansionΔT= Temp diff( b/t surface and the bulk fluid)******************************Grashof number arises because in natural convection velocity of fluid arises from density difference************************For ideal gasesβ=(1/rho)(P/Rg*T^2) since rho=P/RgT ---> β=1/T

Characteristic Length

r

Characteristic Length (L) depends on the geometry of the surface over which flow takes placeWhen dimensionless number is denoted with L, it means it is the average number, whereas if it is denoted with x it is the local number

Film Temperature

Film Temperature
r

Film Temperature is the average Temp of Surface temp and temp of fluidFilm temp is important because it is the temp that you use for a given fluid property like viscosity

Finding Nu

Natural Convection

Flate plate(6.6.3)

Vertical surface

Vertical surface
r

characteristic length L is the height of the vertical surface.

Horizontal surface

r

The characteristic length in the equations for horizontal plates is calculated as L =A/P, where A=the surface area P=the perimeter of the plate.

Hot side facing down or cold side facing up

Hot side facing down or cold side facing up

Hot side facing up or cold side facing down

Hot side facing up or cold side facing down

Flow Over Sphere

Flow Over Sphere
r

characteristic length is the diameter of the sphere( L becomes D)

Flow Over Cylinder assumption
test to use Sphere equation

Flow Over Cylinder assumption
 test to use Sphere equation
r

characteristic length would be the height of the cylinder, L.D stands for Diameter***********************************If D is large enough compared to L can use sphere *************for a horizontal circular cylinder

Flow Over Cylinder

Flow Over Cylinder

Forced Convection

Flat Plate(6.6.1)

Flat Plate(6.6.1)
r

WhereL=distance along the flow

Cylinder

Flow Through Cylinder

Flow Through Cylinder
r

characteristic length is the inner diameter of the tube

Flow Over Cylinder

Flow Over Cylinder
r

the characteristic length is the outside diameter.********************over horizontal cylinder

Flow Over Cylinder

Flow Over Cylinder
r

constants B and n are found in table to use in equation

Flow Over Sphere

Flow Over Sphere
r

characteristic length is the diameter of the sphere( L becomes D)

Governing Equation for Heat Transfer (3.1)

Governing Equation for Heat Transfer (3.1)
r

if continuity equation is applicable(du/dx=0) then u can be taken out of derivative**important to realize that the convection term is when the "CV" that our looking at has bulk flow. Different than when a surface has a convection BCUtility of the equationIt is useful for any material.It is useful for any size or shape. Similar equations can be derived for other coordinate systems.It is easier to derive the more general equation and simplifyIt is safer - as you drop terms you are aware of the reasons.Can we make it more general? (aka its limitations)To use with compressible fluids.To use when all properties vary with temperature. We need numerical solutions (explained later in the book) to solve such problems.To include mass transfer. For example, the equation cannot predict the temperature inside a steak during cooking in an oven since the equation does not include water loss from the steak.

General Boundary Conditions(3.2)
-Boundary Conditions are needed to solve constants of anti-derivatives
-three common types of boundary conditionsundefined

1) Surface temperature is Specified

1) Surface temperature is Specified

3) Convection at surface

3) Convection at surface
r

when heat conducted out of the boundary is convected by the fluid --> the heat flux can only be conducted away as fast as it is convected away

2) Surface heat flux is specified

2) Surface heat flux is specified
r

useful in first integral to get first constant (C1)**surface heat flux is different than internal heat generation

2a) Special case: Insulated condition

2a) Special case: Insulated condition

2b) Special case: Symmetry condition

2b) Special case: Symmetry condition
r

Used in a problem where geometry and the BC are symmetric---> ex is slab of uniform thickness that is symmetrically cooledon both sidesx=0 is indicative of the line of symmetry

Governing Eq in diff Coordinate Systems(3.5)

r

doesn't include bulk flow part of general equation

Cartesian Coord

Cartesian Coord

Cylindrical Coord

Cylindrical Coord

Spherical Coord

Spherical Coord

Mechanisms and modes

Advection

Convective Heat Transfer(2.2)
Convection over a surface

Convective Heat Transfer(2.2)
Convection over a surface
r

Whereq1-2 =the heat flow rate from 1-2 (in W or Btu/hr)A= the area normal to the direction of heat flow (m2 or ft2)T1 − T2 = the Temp diff b/t surface & fluidh=the convective heat transfer coefficient, also called the filmcoefficient. (W/m^2*C or (Btu/hr*ft^2 *F)**************Understanding h************************-This equation is not a law, but rather a defining equation for h.-h includes the conduction in the fluid in addition to bulk flow --->presence of conduction(more generally diffusion) will always exist in bulk flow-h is a function of system geometry, fluid and flow properties, and magnitude of ΔT

m

Diffusion

Conduction(2.1)
Fourier's equation(rate law)

Conduction(2.1)
Fourier's equation(rate law)
r

where k=thermal conductivity of medium (W/mC) or (W/mK)qx= rate of heat flow in the x direction (W)T= Temperature at location x (K or C)x=location in x axis qx"/A = heat flux

Thermal Diffusivity(2.1.2)

Thermal Diffusivity(2.1.2)
r

Whereα= thermal diffusivityρ= densitycp=specific heatk=thermal conductivityflux of energy= α x Gradient in energy (aka change in internal energy--> different from thermal conductivity because this alone does not determine temp change, also matters how much energy is need for each degree of temp change)

Density and Specific Heat(2.1.3)

r

-ρ & cp are parts of “thermal mass” of the system.-ρ x cp=volumetric heat capacity-two type of density (important when material is porous)solid density-mass per unit volume of just the solid portion in porous mediabulk density- mass of the dried solid to its total volume(solids +pores)

Radiative Heat Transfer(2.3)

Radiative Heat Transfer(2.3)
r

Whereq=heat flow rateA=area (m^2)T=absolute Temp (K)σ=Stefan-Boltzmann Constant ( 5.676E-8 [W/m^2K^4] or .1714E-8 [Btu/hrft^2R^4 ] )

Conservation of Thermal Energy(1.1.3)

Conservation of Thermal Energy(1.1.3)