UNIT 8: Applications of Vectors
7.4 - The Dot Product of Algebraic Vectors
R2 vs. R3
R2
R3
Property of the Dot Product in R3
7.5 - Scalar & Vector Projections
Projections
PROJECTIONS are formed from dropping a perpendicular from the head of one vector to another vector, or to the extension of another vector. (Similar to a SHADOW)
Scalar Projections
Scalar projections are a NUMBER (scalar quantity)
There are 3 cases:
Case 1:
Case 2:
Case 3:
CALCULATIONS
The general formula for finding the SCALAR PROJECTION of a vector on another vector:
SPECIAL CASE
Vector Projections
Vector projections are a VECTOR (vector quantity)
CALCULATIONS
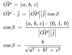
Direction Angles in R3
DIRECTION ANGLES are the angles that a position vector makes with each of the positive coordinate axes.
7.6 - The Cross Product of Two Vectors
Cross Product (Vector Product)
The CROSS PRODUCT of two vectors is the vector that is PERPENDICULAR to both of them.
The two non-collinear vectors and their cross product form a RIGHT-HANDED system.
The CROSS PRODUCT is a VECTOR, and can only be defined in R3.
CALCULATIONS
Formula for the Cross Product
Formula for the Magnitude of the Cross Product
Properties of the Cross Product
PROPERTY 1:
PROPERTY 2:
PROPERTY 3:
7.7 - Applications of the Dot Product & Cross Multiplication
Applications of Dot Product
WORK
WORK is a SCALAR quantity measured in joules (J).
Work is done when a force acting on an object causes a DISPLACEMENT of an object from one position to another.
CALCULATION
Applications of the Cross Product
AREA OF A PARALLELOGRAM
The axes are the cross products of each other since the only vector perpendicular to two axes is the third axis.
TORQUE
TORQUE is a VECTOR quantity measured in Newton-metres (N-m) or in joules (J).
Torque is caused by a FORCE defined as the CROSS PRODUCT in cases where force causes an object to TURN. (angular rather than linear displacement)
CALCULATION
7.1 - Vectors as Forces
Forces
FORCES cause an object to undergo acceleration.
Magnitude of a force is measured in newtons (N).
GRAVITY - A very common example of a force that causes objects to accelerate at a rate of approximately 9.8 m/s2
Forces are VECTORS.
Example: Forces acting in the SAME direction (Magnitudes of the two vectors are added together to get the magnitude of the resultant vector since the direction is the same)
Example: Forces acting in DIFFERENT directions (Cosine Law is first used to determine the magnitude of the resultant vector and then Sine Law is applied to find the direction)
Equilibrium
A state when objects are at rest or in uniform motion.
NET FORCE is ZERO.
Example: Steady speed
EQUILIBRANT - The opposite force that counterbalances the resultant force (in order to maintain equilibrium).
In order to maintain equilibrium with three forces on a plane, the forces must be able to create a triangle, which occurs when the triangle inequality holds TRUE.
TRIANGLE INEQUALITY: The sum of any two sides is greater than or equal to the third side.
Resolving a Vector
In order to RESOLVE a vector, a single force must be decomposed into its horizontal and vertical components.
1. A right triangle is created with the given vector.
2. The magnitudes of the components can then be determined through using primary trigonometric ratios and a given angle.
7.2 - Velocity
Velocity
VELOCITY is a vector quantity (both direction and magnitude are important).
Magnitude of velocity is speed.
Applications
The resultant (ground speed) in velocity applications is the speed of the plane/boat RELATIVE to an individual on the GROUND, INCLUDING the effects of wind/current on the speed of the air/water.
DIRECTION (There are 3 ways to refer to the direction of the resultant vector) -
1. Using conventional bearings - the locations of North, East, South, and West as general direction indicators, and then specifying the exact angle that separates the vector from them.
Example of Option 1: Indicates that the vector is pointing (the direction of the head) towards 54.79 degrees east of north.
2. Using the true bearings - the angle from due north to the vector (in a clockwise motion).
Example of Option 2: Indicates that the vector is pointing (the direction of the head) towards 54.79 degrees right from due north.
3. Using the locations of the given vectors as general direction indicators.
Example of Option 3: Indicates that the angle between the vector 4N and the resultant vector is 54.79 degrees (in the direction of vector 6N).
Example: The resultant ground speed and course of the plane in this example could be calculated through the following procedure:
STEP 1:
STEP 2:
7.3 - The Dot Product of Two Geometric Vectors
Dot Product
The dot product of two vectors is a SCALAR QUANTITY. (Also referred to as the scalar product)
The VALUE of the dot product is determined by the angle between the two vectors.
When the angle between the two vectors is ACUTE, the dot product is GREATER than 0.
When the angle between the two vectors is 90 degrees, meaning they are PERPENDICULAR, the dot product is EQUAL to 0.
When the angle between the two vectors is OBTUSE, the dot product is LESS than 0.
Properties of Dot Product
PROPERTY 1:
PROPERTY 2:
PROPERTY 3:
PROPERTY 4:
PROPERTY 5:
Associative property with a VECTOR is NOT TRUE
Example
Left Side
Right Side
